最后编辑于: 2020-12-14 18:56 | 分类: 算法&技术思想 | 标签: 相位补偿 反馈控制 | 浏览数: 8057 | 评论数: 0
本文是近日看书的历程和要点记录, 是给我自己看的. 并不是理论普及介绍文字.
近日在看《开关电源设计入门与实例解析》一书时, 书中经常提到补偿电路与相位补偿, 但作者又一直没深入讲解. 补偿的是什么, 何来补偿? 这问题一直萦绕在我心头.
后来在看一款TEC(Peltier thermoelectric cooler)温控芯片时, 其中也应用了针对零点、极点和相位的补偿措施. 让我不由得决定对这个补偿一探究竟.
(哎, 这一探之后, 作为一个自控专业毕业生不由得感到惭愧, 现在才来重拾这些知识. 这些知识本科学过, 实际上后来工作中也重新看过书重温过, 但实际工作中用到这些模拟和反馈控制知识的机会太少, 时日一久就又忘了. )
我先看的《自动控制原理》, 本着“偷懒”的原则, 只看必须的, 实际上只看了上册中的“2.6节 传递函数和传递函数矩阵”这一节, 这一小节都没看完, 只看了2.6.1 ~ 2.6.4部分(P59 ~ P71), 关于传递函数矩阵的部分没有看.
谈到反馈控制, 当然离不了传递函数, 传递函数又是基于拉普拉斯变换, 又去复习了一下拉普拉斯变换.
比着书上简单的例子, 亲自计算了2个拉氏变换, 说起来好久没有做过积分运算了, 生疏的很.
关于传递函数
G(s) = y(s) / u(s)
G(s) = bmsm+bm-1sm-1+…+b1s+b0 / ansn+an-1sn-1+…+a1s+a0
有以下要点:
y=Ku, 这种情况下n=m=0, 满足n>=m. 当传递函数是有理函数是, 它的几乎全部信息都集中表现为它的极点和零点.
上面提到了, 传递函数的极点代表了对象固有的运动模式, 虽然它也能和零点相消, 但这可不像消去输入量的极点那么简单.
传递函数的零极点相消, 根据传递函数方框图不同组合, 可能会带来3种情况.

如上图中的情况, 第一个框中s=-1的零点和第二个框中的极点重合.
与零点恰好重合的极点的运动成分在最终的运动方程种任然存在, 但这个运动成分并不受输入量的制约, 它被称为不可控模态.
而这个零点所起的作用就是使极点所代表的运动成分不受输入量的制约, 这样的零点称为输入解耦零点.
输出量中出现不可控模态的后果如何, 要看这个模态本身的动态性质而定. 如果不可控模态具有恶劣的动态性质(振荡剧烈或变化缓慢, 甚至不稳定等等), 则由于其不可控, 就无法靠输入量来消除它的影响. 因此, 对不可控模态应给予注意.

如上图中的情况, 第一个框中s=-1的极点和第二个框中的零点重合.
这样对象内部的某一变量的运动含有某种模态, 但对象的输出端却观察不到, 我们把这种极点称为对象的不可观模态.
出现不可观模态的原因可这样来理解. 我们知道, 传递函数的零点有阻断特定模态的作用, 上图中第一个框传递函数的极点s=-1所“生成”的模态被后面的框的传递函数的领导的s=-1给阻断了. 因此, e-t 就成了只存在与对象内部而在输出量中观察不到的模态. 我们称这样的零点为输出解耦零点.
如果不可观模态具有恶劣的动态性质, 则其虽然在输出端观察不到, 它仍能对对象的正常运行产生有害后果. 因此对于不可观模块也应给予注意.

上图中的情况, 第一个框有输入解耦零点s=-1, 中间变量z(t)会出现不可控模态 e-t. 但这个模态又被第三个框的输出解耦零点s=-1所阻断, 这样在输出量y(t)中就观察不到了. 所以 e-t 这个模态虽存在与系统的运动中, 但它既不受输入量制约, 又不能在输出量中观察到. 我们把它称为不可控不可观模态, 把零点s=-1称为输入输出解耦零点.
总之, 在传递函数中又极点和零点相消的情况下, 会出现不可控的, 或不可观的, 或即不可控又不可观的模态. 也就是说, 对象的某些运动模态或者与输入量解耦, 或者与输出量解耦, 或者与两者都解耦, 对于这种模态, 尤其是当它们代表性质恶劣的运动是, 应给予注意!
看了自控书, 重温了传递函数和零极点, 但并没有解决“补偿”这个疑惑.
于是我又看了《模拟电子技术基础》中的“第四章 放大电路中的反馈”(P271 ~ 320).
假定输入信号瞬时有个正向或负向的变化, 然后沿着正向信号通路分析各中间环节直到输出量的变化趋势, 再由输出量沿着反馈通路分析导致输入量的变化极性, 看这个极性与一开始假定的输入信号瞬时变化极性是否相反, 相反则为负反馈, 反之则为正反馈.
此方法称为瞬时极性法.
我们知道, 放大电路中存在则直流分量和交流分量, 反馈信号也是如此. 若电路中有交流信号的反馈通路, 则存在交流反馈;若电路中存在直流信号的反馈通路, 则存在直流反馈;若交直流信号都有反馈通路, 则交直流反馈同时存在.

在分析放大电路时, 传递函数并不常使用拉氏变换的表示方式, 而是用正弦信号的复数表示方式, 如上图中的(b).
如上图中的变量的复数形式, 头顶上都有个点, 而这个点不好书写, 所以后面我的描述中都省去了这个点, 我们知道意义即可.
其中 Xi 为输入量, X'i 为净输入量(即输入量经过和反馈信号的运算后的), Xo 为输出量, 这些信号可以为电压或电流量.
我们定义 A = Xo / X'i 为反馈放大电路中无反馈时的放大倍数, 也称为开环放大倍数.
定义 F = Xf / Xo 为反馈系数.
定义 Af = Xo / Xi 为反馈放大电路的闭环放大倍数.
可知, 下面2个等式成立:
X'i = Xi - Xf
和
Xf = F * Xo = AF * X'i
AF通称为回路增益.
可计算推导如下:
Af = Xo / Xi = Xo / (X'i + Xf) = Xo / (X'i + AF * X'i) = (Xo / X'i) / (1 + AF) = A / (1 + AF)
最终的结果:
Af = A / (1 + AF) ---------(式1)
上式表明, 接入负反馈之后, 放大电路的放大倍数是不带反馈时放大倍数的 1/(1+AF).
负反馈放大电路性能的改善程度多与 1 + AF 有关. 我们常把 |1 + AF| 称为反馈深度.
当我们只考虑放大倍数的幅值时, 可对(式1)取模, 则为:
|Af| = |A| / |1 + AF| -------(式2)
上式表明此时当负反馈放大电路的放大倍数几乎只取决于反馈系数, 而与开环放大倍数的无关.
因反馈网络多是无源网络, 反馈系数只与网络中元件的数值有关, 是比较稳定的, 所以 |Af| 也是比较稳定的.
可以说 |A| 越大, 越容易满足上面的条件. 这就是我们总希望运放的 Aod很大, 甚至提出理想运放的 Aod = ∞的原因.
满足 |1 + AF| 》1 条件的负反馈, 称为深度负反馈.
负反馈对放大电路几个方面的性能都有改善, 这里只列举一下, 具体的推导过程就不详述了, 可参见《模拟电子技术基础》的4.5节P301 ~ 306页.
我们知道, 负债的变化、温度的变化、器件参数的变化等, 都会引起放大倍数的变化, 引入反馈后, 可使得由于以上等诸原因导致的放大倍数的变化变小, 提高了放大倍数的稳定性. 但这是靠牺牲放大倍数获得的.
引入负反馈后信号和干扰均减小了1/(1+AF)倍, 但是如果信号能提高1+AF倍, 这在同样的输出情况下, 信号与干扰噪声的比值将增大1+AF倍. 条件是, 信号的幅值具有提高的潜力而干扰信号只局限于系统内部产生的, 不能是混在输入信号中的.
即对于 非线性失真 和 干扰噪声, 引入负反馈, 都只能抑制系统内部产生的 失真和干扰;而对于输入信号本身具有的失真和混入输入信号中的干扰, 负反馈对之无能为力.
引入负反馈后, 可使放大电路的频带扩展约 |1+AF| 倍. 这是也是以牺牲放大倍数为代价的. 另外这也符合增益带宽积基本为一常数的规律.
前面的讨论, 我们已提到, 当 |1 + AF| = 0 时, |Af| = ∞. 即在没有输入信号时, 也会有输出信号. 这种现象就称为自激振荡.
我们对于产生自激振荡的原因来做个定性分析. 由多级放大电路的频率响应(见本书的第二章)可知, 含有多个RC回路的放大电路, 它的相频特性的最大附加相移是随RC回路个数的增多而变大的. 没增加一个RC回路, 最大相移增加90°(或-90°). 我们所说的负反馈, 是指在信号输入时, 反馈信号于输入信号极性相反, 消弱了净输入信号. 然而由于信号频率变高或变低后, 经过回路的反馈信号会产生一定的附加相移. 若附加相移达到180°, 这反馈信号于输入信号从反相变成了同相, 即从相减变成了相加, 不是消弱而是增强了净输入信号, 变成了正反馈. 同时, 如果反馈很强, 以至于反馈信号的幅值等于或大于净输入信号的赋值时, 就能不需要输入信号而有一定的输出了. 从分析中可知, 产生自激振荡的关键有2条:
下面我们进行定量分析产生自激振荡的条件, 1 + AF = 0也可以写成AF = -1.
它包含幅值于相位2个关系:
|AF| = 1是指反馈量的幅值等于净输入量; 而相位关系表示反馈的极性由负变为正.
什么使波特图, 我这里就不详述了, 本书的P134页也有讲述.
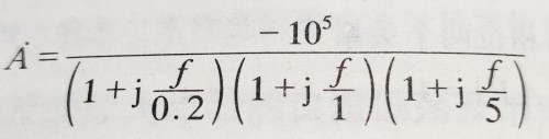
我们来看一个三级放大电路的放大倍数的频率响应. 其放大倍数的表达式为

f的单位为MHz.
其响应的波特图为

从相频特性中可以看到当信号频率约为2.5MHz时, 输入于输出的相移是-360°, 或者说附加相移是-180°. 而在与它对应的幅频特性中, 放大倍数约为68.5dB, 即2661倍左右. 那么若 F ≥ (1/2661), 则能满足 |AF| ≥ 1. 这样对于2.5MHz的信号就满足了自激振荡的条件, 会产生振荡.
根据这个分析, 我们可以看到, 若放大器放大倍数的附加相移为±180°时, 所对应的20lg|A|值在0dB以上, 则引入电阻网络负反馈时, 有可能会产生自激振荡; 若反馈系数已确定, 那么更直观的方法时利用AF的波特图来进行判断. 比如, 放大电路的波特图任如上图所示, 而反馈系数F=10-4. 则只须将幅频特性中的横坐标轴向上移80dB, 原幅频特性就变成了AF的幅频特性, 而相频特性则不变. 由此可很直观的发现, 对应于-360°时的幅频值约为-11.5dB, 即 |AF| < 1, 故不会产生自激振荡.
从以上分析也可以得出这样一个结论, 对于具有上图频率特性的放大器, 在组成负反馈电路时, 反馈系数F越小越可能不产生自激振荡. 换句话说, F越大, 产生自激振荡的可能性越大. 对于电阻反馈网络, F的最大值是1. 如果一个放大电路在F = 1时没有产生自激振荡, 那么对于其他的电阻反馈电路也都不会产生自激振荡. F = 1的典型电路就是电压跟随电路, 如下图形式, 所以在工作中, 常常将运放接成跟随器的形式进行测试(或进行补偿), 若不自激再接入实际电路中.

如前所述, 在AF的波特图中, 只要对应附加相移为±180°的AF幅值小于0dB, 就不会产生自激振荡.
然而在一般使用时都要有一定的裕度(这也是衡量一个放大电路稳定的指标). 可以从两方面衡量:

用AF的附加相移为±180°时所对应的幅值来定义Gm, 若此时的频率记作 f0, 则
Gm = 20lg|AF|f=f0
稳定的负反馈电路其Gm为负值, 而且绝对值越大表面电路越稳定. 一般要求 Gm ≤ 10dB 即可.
若 20lg|AF| 为0dB时所对应的频率为 fc, 则
Фm = 180° - |Ф(fc)|
稳定的负反馈电路 Фm 为正值, 而且 Фm 越大越表明电路越稳定. 一般要求 Фm ≥ 45°.
为了避免负反馈放大电路产生自激振荡, 有什么办法保证电路有一定的幅值裕度和相位裕度呢?
常用的办法就是相位补偿法. 相位补偿的根本思想就是通过增加一些元件改变电路参数而使频率特性发生变化, 破坏自激振荡的条件.
下面大概介绍一下几种常见的补偿措施, 不再描述详细的计算推导过程了, 详见《模拟电子技术基础》的4.6.4小节P313 ~ 320.

这种补偿是在放大电路中时间常数最大的回路里并联电容, 使其时间常数更大(即所对应的拐点频率变低), 使高频放大倍数下降更多, 以至在相移180°时, 幅值下降到0dB以下. 由于这样补偿使这段频率所对应的相位滞后, 属于滞后补偿.
一般滞后补偿的结果都是, 使第2个极点成为幅频特性的0dB频点, 即0dB以上只有1个拐点.
这种方法简单易行, 但却会使得放大电路的频带变窄, 对反映快速变化不利. 下面介绍一种改进方法.

如上图, 用RC代替C构成了补偿电路.
RC滞后补偿的思路仍以滞后补偿为主, 但设法在A的表达式的分子中引入了一个零点, 与其分母中的一个极点相消, 从而使频带尽量宽一些. 因为有零极点相消, R和C的元件值的选取是根据此计算出来的, 这里就不详述计算过程了.
一般是消掉第2个极点, 第2个极点被消掉后, 原第3极点代替了第2极点成为0dB点, 自然频宽就扩展了.
在实际工作中, 应先从运放的幅频特性中找出第二拐点频率f2, 然后选 RC = 1/(2Πf2), 并在满足 C ⋙ Ci2 和 R ⋘ (Ro1 ∥ Ri2) 的条件下, 分别定出R和C值. 由上述关系还可看出, 加入RC滞后补偿的地方应选择**前级的输出电阻和下一级的输入电阻都比较大, 而极间电容比较小的节点, 则R和C的数值比较容易选定.
前面2种补偿电路所需的电容电阻都会比较大, 对集成化带来一些不便. 怎样才能用一个较小的电容来达到同样的效果呢?
我们可以利用密勒效应(反相放大电路中, 输入与输出之间的分布电容或寄生电容由于放大器的放大作用, 其等效到输入端的电容值会扩大1+A倍, K是该级放大电路电压放大倍数), 将补偿电路跨接在放大电路中, 如图

这样折合到A2输入端的等效阻抗就会放大约A2倍, 即实际所需的电容量就可大大减小.
集成运放有时需要外接补偿电路(由引出的补偿端), 可根据以上原则进行补偿. 生产厂一般会提供补偿电路的型式及RC数值选择范围.

既然我们的最终目的使改变AF的频率特性, 那么通过改变反馈网络的频率特性来进行补偿也是可行的.
这时的补偿思想是设法将0dB点的相位向前移(超前), 使它不满足-180°的条件, 这种做法称为超前补偿.
F的波特图如上, 相频特性表明它具有相位超前的性质, 最大超前相位为+90°. 如果AF的幅频特性中0dB点所对应的相移处于临界状态(-180°左右), 则可通过选择合适的 f1 和 f2 (在0dB点左右), 改变0dB点所对应的相移值, 使电路稳定.
下图示出了超前补偿的情况

总之, 实现相位补偿的方法还有很多, 这里这列举了这4种.